chinese

Current Location:home > english > Research > Green Polymerization Process and Polymer Product > Solvent-free polymerization

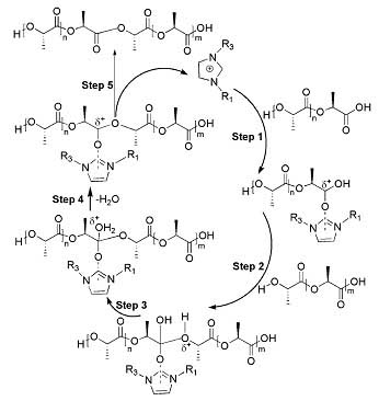
Mechanism of melt polycondensation process of poly(lactic acid)

Weichao Wang, Linbo Wu, Yuan Huang, Bogeng Li,
Melt Polycondensation of L-Lactic Acid Catalyzed by 1,3-Dialkylimidazolium Salts,
Polymer International 2008, 57, 872-878
 
 
   http://onlinelibrary.wiley.com/doi/10.1002/pi.2421/abstract