English

当前位置:首页 > 研究成果 > 专利 > 2012年授权发明专利

酸酐酰胺化嵌段梳状共聚物及其制备方法和作为原油降凝减粘剂的用途

专利名称: 酸酐酰胺化嵌段梳状共聚物及其制备方法和作为原油降凝减粘剂的用途
专利类型:
发明专利,ZL 2010 1 02 56489.0
专利授予单位: 中华人民共和国国家知识产权局
专利权人: 浙江大学
发明人: 曹堃,姚臻,张江山,李本菊,陈慕浪
授权公告日: 2012年6月27日

 

专利简介:

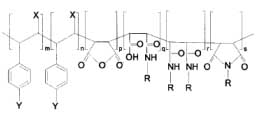
       本发明公开一种酸酐酰胺化嵌段梳状共聚物及其制备方法和作为原油降凝减粘剂的用途。其中酸酐酰胺化嵌段梳状共聚物具有如下结构式:(1),其中,X为H或CH3,Y为H、CKH2K+1、Cl、Br、I
NO2、CN、CHO、COOH、CONH、OH或NH2,R为C10-24烷基或其混合物,1≤k≤24、0≤m≤100、2≤n≤100、0≤p≤99、0≤q≤100、0≤r≤100、0≤s≤100、1≤q+r+s≤100、3≤p+q+r+s≤100。本发明的嵌段梳状共聚物加入模拟原油体系中,体系粘度大幅度降低,降凝效果明显。