曹堃课题组

您的位置:曹堃课题组 > 首页 > 最新动态

本课题组硕士生魏相霞在能源顶级期刊(浙大TOP100)Energy & Fuels, 2013, 27: 640-645上发表题为“Study on the Influence of Imidization Degree of Poly(styrene-co-octadecyl maleimide) as Waxy Crude Oil Flow Improvers”的学术论文

编辑:group4  时间:2013-07-30 07:57:59   访问次数:3793

Abstract:

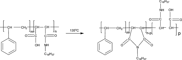
A series of flow improvers (FIs) were synthesized through the reaction between poly(styrene-co-maleic anhydride) with octadecyl amine. Fourier transform infrared spectra confirmed that these FIs had different degrees of imidization, which indicated that the fraction of the maleamic acid group and maleimide group in the FIs could be changed. These FIs were applied to the model waxy oil with C24 as the paraffin. A differential scanning calorimeter, polarizing microscope with a hot stage, and rotation rheometer with parallel plate geometry were employed to characterize the crystallization temperature, crystal morphology, and rheological behaviors, respectively. The results indicated that adding a little bit of the FIs can significantly reduce the crystallization temperature, the number and size of waxy crystals, and the yield stress of the model oil. Moreover, it has been found that the degree of imidization has considerable effects on the performance of the FIs. The FIs with a higher degree of imidization are more effective. This effect is attributed to the difference in the polarity between the maleamic acid group and the maleimide group.

                                              Amidification (Ring-Opening Reaction)

                                              Imidization (Ring-Closing Reaction)